En geometría y álgebra lineal, un tensor cartesiano utiliza una base ortonormal para representar un tensor en un espacio euclídeo en forma de componentes. La conversión de las componentes de un tensor de una base a otra se realiza mediante una transformación ortogonal.
Los sistemas de coordenadas más familiares son los sistemas cartesianos bidimensionales y tridimensionales. Los tensores cartesianos se pueden usar con cualquier espacio euclidiano o, más técnicamente, con cualquier espacio vectorial de dimensión finita sobre el cuerpo de los números reales que tenga asociado un espacio prehilbertiano.
El uso de tensores cartesianos se da en física e ingeniería, como ocurre con el tensor de tensión y el tensor de momento de inercia en la dinámica de cuerpos rígidos. En ocasiones es conveniente el uso de coordenadas curvilíneas generales, como en el caso de la mecánica de medios continuos de alta deformación, o incluso necesario, como sucede en la relatividad general. Si bien se pueden encontrar bases ortonormales para algunos de estos sistemas de coordenadas (como por ejemplo, las tangentes a las coordenadas esféricas), los tensores cartesianos pueden proporcionar una simplificación considerable para aplicaciones en las que son suficientes las rotaciones respecto a ejes de coordenadas rectilíneos. La transformación es pasiva, ya que se cambian las coordenadas pero no el sistema físico.
Base cartesiana y terminología relacionada
Vectores en tres dimensiones
En el espacio euclídeo tridimensional , se define la base canónica ex, ey, ez. Cada vector de la base apunta según los ejes x, y y z, y todos los vectores son unitarios (o normalizados), por lo que la base es ortonormal.
En todo momento, cuando se hace referencia a coordenadas cartesianas en tres dimensiones, se supone un sistema orientado a la derecha y esto en la práctica es mucho más común que un sistema orientado a la izquierda (consúltese el artículo sobre orientación para obtener más detalles).
Para tensores cartesianos de orden 1, un vector cartesiano a se puede escribir algebraicamente como una combinación lineal de los vectores base ex, ey, ez:
donde las coordenadas del vector con respecto a la base cartesiana se denotan como ax, ay, az. Es común y útil denotar los vectores base como vectores columna.
cuando se tienen las componentes de un vector en una representación de un vector columna:
Una representación como vectores fila también es posible, aunque en el contexto de sistemas de coordenadas curvilíneos generales las representaciones de vectores fila y columna se usan por separado por razones específicas (consúltese convenio de suma de Einstein y covarianza y contravarianza para saber por qué).
El término componente de un vector es ambiguo, y puede referirse a:
- Una coordenada específica del vector como az (un escalar), y de manera similar para x y y, o
- El escalar de coordenadas que multiplica el vector base correspondiente, en cuyo caso la componente y de a es ayey (un vector), y de manera similar para x y z.
Una notación más general es la notación tensorial indexada, que tiene la flexibilidad de emplear valores numéricos en lugar de etiquetas de coordenadas fijas. Las etiquetas cartesianas se reemplazan por índices tensoriales en los vectores base ex ↦ e1, ey ↦ e2, ez ↦ e3 y las coordenadas ax ↦ a1, ay ↦ a2, az ↦ a3. En general, la notación e1, e2, e3 se refiere a cualquier base, y a1, a2, a3 se refiere al sistema de coordenadas correspondiente, aunque aquí están restringidos al sistema cartesiano. Entonces:
Es estándar utilizar el convenio de suma de Einstein: el signo de suma para la suma de un índice que está presente exactamente dos veces dentro de un término puede suprimirse para mayor concisión en la notación:
Una ventaja de la notación indexada sobre las notaciones de coordenadas específicas es la independencia de la dimensión del espacio vectorial subyacente, es decir, la misma expresión en el lado derecho toma la misma forma en dimensiones superiores (véase más adelante). Anteriormente, las etiquetas cartesianas x, y, z eran solo etiquetas y no índices (de manera informal, se puede decir que "i = x, y, z").
Tensores de segundo orden en tres dimensiones
Un tensor diádico T es un tensor de orden 2 formado por el producto tensorial ⊗ de dos vectores cartesianos a y b, escritos T= a ⊗ b. De manera análoga a los vectores, se puede escribir como una combinación lineal de la base tensorial ex ⊗ ex ≡ exx, ex ⊗ ey ≡ exy, ..., ez ⊗ ez ≡ ezz (el lado derecho de cada identidad es solo una abreviatura, nada más):
Representando cada tensor de base como una matriz:
entonces T se puede representar de forma más sistemática como una matriz:
Consúltese el artículo sobre multiplicación de matrices para conocer la correspondencia de la notación entre matrices y los productos escalares y tensoriales.
De manera más general, sea o no T un producto tensorial de dos vectores, siempre es una combinación lineal de los tensores de base con coordenadas Txx, Txy, ..., Tzz:
mientras que en términos de índices tensoriales:
y en forma matricial:
Los tensores de segundo orden aparecen naturalmente en física e ingeniería cuando las magnitudes tienen una dependencia direccional en el sistema, a menudo en forma de estímulo-respuesta. Esto se puede ver matemáticamente a través de un aspecto de los tensores: son funciones multilineales. Un tensor de segundo orden T que transforma un vector u de cierta magnitud y dirección devolverá un vector v en general de diferente magnitud y en diferente dirección a u. La notación utilizada para una función en análisis matemático lleva a escribir v − T(u),[1] mientras que la misma idea se puede expresar en notaciones matriciales e índices[2] (incluida la convención de la suma), respectivamente:
Por la condición de linealidad, si u= ρr σs para dos escalares ρ y σ y vectores r y s, entonces en notaciones de función e índice:
y de manera similar para la notación matricial. Las notaciones de función, matriz e índice significan lo mismo. Las formas matriciales proporcionan una visualización clara de los componentes, mientras que la forma indexada permite una manipulación tensorial-algebraica más sencilla de las fórmulas y de aspecto más compacto. Ambos proporcionan la interpretación física de las direcciones; los vectores tienen una dirección, mientras que los tensores de segundo orden conectan dos direcciones. Se puede asociar un índice tensorial o una etiqueta de coordenadas con una dirección de vector base.
El uso de tensores de segundo orden es el mínimo para describir cambios en magnitudes y direcciones de vectores, ya que el producto escalar de dos vectores es siempre un escalar, mientras que el producto vectorial de dos vectores es siempre un seudovector perpendicular al plano definido por los dos vectores, por lo que estos productos de vectores por sí solos no pueden obtener un nuevo vector de cualquier magnitud en unq dirección cualquiera (consúltese también a continuación para obtener más información sobre los productos escalar y vectorial). El producto tensorial de dos vectores es un tensor de segundo orden, aunque no tiene una interpretación direccional obvia por sí solo.
Se puede continuar con la idea anterior: si T toma dos vectores p y q, devolverá un escalar r. En notación de funciones se escribe r= T(p, q), mientras que en notaciones matriciales e indexada (incluida la convención de suma) respectivamente:
El tensor T es lineal en ambos vectores de entrada. Cuando los vectores y los tensores se escriben sin referencia a componentes y no se utilizan índices, a veces se coloca un punto · donde se toman las sumas de los índices (conocidos como contracción tensorial). Para los casos anteriores:[1][2]
motivado por la notación del producto escalar:
De manera más general, un tensor de orden m que transforma vectores de diemnsión n (donde n está entre 0 y m inclusive) devolverá un tensor de orden m − n (consúltese el párrafo sobre aplicaciones multilineales para obtener más generalizaciones y detalles). Los conceptos anteriores también se aplican a seudovectores de la misma manera que a los vectores. Los propios vectores y tensores pueden variar en el espacio, en cuyo casose tienen campos vectoriales y campos tensoriales, y también pueden depender del tiempo.
A continuación se muestran algunos ejemplos:
Para el ejemplo de la conducción eléctrica, las notaciones indexada y matricial serían:
mientras que para la energía cinética rotacional T:
Consulte también ecuación constitutiva para obtener ejemplos más particulares.
Vectores y tensores en n dimensiones
En el espacio euclídeo de dimensión n sobre los números reales, , la base estándar se denota como e1, e2, e3, ... en. Cada vector de la base ei apunta en el eje positivo xi, siendo la base ortonormal. La componente j de ei viene dada por la delta de Kronecker:
Un vector en toma la forma:
De manera similar para el tensor de orden 2 anterior, para cada vector a y b en :
o más generalmente:
Transformaciones de vectores cartesianos (cualquier número de dimensiones)
Significado de invariancia bajo transformaciones de coordenadas
La posición x en es un ejemplo simple y común de un vector, y se puede representar en cualquier sistema de coordenadas. Considérese únicamente el caso de las coordenadas cartesianas con bases ortonormales. Es posible tener un sistema de coordenadas con geometría rectangular si los vectores de la base son todos mutuamente perpendiculares y no están normalizados, en cuyo caso la base es ortogonal pero no ortonormal. Sin embargo, las bases ortonormales son más fáciles de manipular y se utilizan con frecuencia en la práctica. Los siguientes resultados son válidos para bases ortonormales, no ortogonales.
En un sistema de coordenadas rectangular, x como contravector tiene coordenadas xi y vectores base ei, mientras que como covector tiene coordenadas xi y covectores base ei, y se tiene que:
En otro sistema de coordenadas rectangular, x como contravector tiene coordenadas xi y base ei, mientras que como covector tiene coordenadas xi y base ei, y entonces:
Cada nueva coordenada es función de todas las antiguas, y viceversa para la función inversa:
y de manera similar cada nuevo vector base es función de todos los antiguos, y viceversa para la función inversa:
para todos los i, j.
Un vector es invariante ante cualquier cambio de base, por lo que si las coordenadas se transforman según una matriz de transformación L, las bases se transforman según la matriz invertible L−1; y a la inversa, si las coordenadas se transforman según una matriz L−1 inversa, las bases se transforman según la matriz L. La diferencia entre cada una de estas transformaciones se muestra convencionalmente a través de los índices como superíndices de contravarianza y subíndices de covarianza, y las coordenadas y bases son transformadas linealmente según las siguientes reglas:
donde Lij representa los valores de la matriz de transformación (el número de fila es i y el número de columna es j) y (L−1)ik denota los valires de la matriz inversa de la matriz Lik.
Si L es una transformación ortogonal (matriz ortogonal), los objetos que transforma se definen como tensores cartesianos. Esto geométricamente tiene la interpretación de que un sistema de coordenadas rectangular se asigna a otro sistema de coordenadas rectangular, en el que se conserva la norma del vector x (y se conservan las distancias).
El determinante de L es det(L)= ±1, lo que corresponde a dos tipos de transformaciones ortogonales: ( 1) para rotaciones y (−1) para rotaciones impropias (incluidas reflexiones).
Existen considerables simplificaciones algebraicas, la matriz transpuesta es la inversa de la definición de una transformación ortogonal:
De la tabla anterior, las transformaciones ortogonales de covectores y contravectores son idénticas. No hay necesidad de diferenciar entre índices y subíndices y, en este contexto y en las aplicaciones a la física y la ingeniería, los índices suelen ser todos subíndices para eliminar la confusión con respecto a la notación de las potencias. Todos los índices serán subíndices en el resto de este artículo. Se pueden determinar los superíndices y subíndices reales considerando qué cantidades son covectores o contravectores y las reglas de transformación relevantes.
Se aplican exactamente las mismas reglas de transformación a cualquier vector a, no solo al vector de posición. Si sus componentes ai no se transforman según las reglas, entonces a no es un vector.
A pesar de la similitud entre las expresiones anteriores, para el cambio de coordenadas como xj= Lijxi y la acción de un tensor sobre un vector como bi= Tij aj, L no es un tensor, pero T sí lo es. En el cambio de coordenadas, L es una matriz, utilizada para relacionar dos sistemas de coordenadas rectangulares con bases ortonormales. Para el tensor que relaciona un vector con un vector, todos los vectores y tensores de la ecuación pertenecen al mismo sistema de coordenadas y base.
Derivadas y elementos de la matriz jacobiana
Los términos de L son las derivadas parciales de las coordenadas nuevas o antiguas con respecto a las coordenadas antiguas o nuevas, respectivamente.
Diferenciando xi respecto a xk:
entonces
es un elemento de la matriz jacobiana. Existe una correspondencia (parcialmente mnemotécnica) entre las posiciones de índice adjuntas a L y en la derivada parcial: i en la parte superior y j en la parte inferior, en cada caso, aunque para tensores cartesianos los índices se pueden escribir como subíndices.
Por el contrario, diferenciando xj respecto a xi:
entonces
es un elemento de la matriz jacobiana inversa, con una correspondencia de índices similar.
Numerosos textos expresan las transformaciones en términos de derivadas parciales:
y las ecuaciones matriciales explícitas en 3d son:
de manera similar para
Proyecciones en ejes de coordenadas
Como ocurre con todas las transformaciones lineales, L depende de la base elegida. Para dos bases ortonormales
- Proyectando x sobre los ejes x:
- Proyectando x a los ejes x:
Por lo tanto, las componentes se reducen a los cosenos directores entre los ejes xi y xj:
donde θij y θji son los ángulos entre los ejes xi y xj. En general, θij no es igual a θji, porque por ejemplo θ12 y θ21 son dos ángulos diferentes.
La transformación de coordenadas se puede escribir:
y las ecuaciones matriciales explícitas en 3d son:
similarmente para
La interpretación geométrica es que las componentes xi son iguales a la suma de proyectar las componentes xj sobre los ejes xj.
Los números ei⋅ej ordenados en una matriz formarían una matriz simétrica (una matriz igual a su propia transpuesta) debido a la simetría en los productos escalares, de hecho es el tensor métrico g. Por el contrario, ei⋅ej o ei⋅ej no forman matrices simétricas en general, como se muestra arriba. Por lo tanto, si bien las matrices L siguen siendo ortogonales, no son simétricas.
Aparte de una rotación alrededor de cualquier eje, en la que xi y xi para algún i coinciden, los ángulos no son los mismos que los ángulos de Euler y, por lo tanto, las matrices L no son las mismas que las matrices de rotación.
Transformación de los productos escalar y vectorial (solo en tres dimensiones)
El producto escalar y el producto vectorial aparecen con mucha frecuencia en aplicaciones de análisis vectoriala en física e ingeniería, los ejemplos incluyen:
- La potencia transferida P por un objeto que ejerce una fuerza F con velocidad v en una trayectoria recta:
- La velocidad tangencial v en un punto x de un cuerpo rígido giratorio con velocidad angular ω: :
- La energía potencial U de un dipolo magnético de momento magnético m en un campo magnético externo uniforme B:
- El momento angular J para una partícula con posición r y cantidad de movimiento p: :
- El momento τ actuando sobre un dipolo de momento dipolar químico p en un campo eléctrico externo uniforme E:
- La superficie inducida por una densidad de corriente jS en un material magnético de magnetización M sobre una superficie con normal n:
A continuación se ilustra cómo se comportan estos productos bajo transformaciones ortogonales.
Producto escalar, delta de Kronecker y tensor métrico
El producto escalar · de cada posible par de vectores de base se deriva de que la base es ortonormal. Para pares perpendiculares se tiene que
mientras que para pares paralelos se tiene que
Reemplazando las etiquetas cartesianas por la notación indexada como se ha mostrado anteriormente, estos resultados se pueden resumir como
donde δij son las componentes de la delta de Kronecker. Se puede utilizar la base cartesiana para representar δ de esta manera.
Además, cada componente del tensor métrico gij con respecto a cualquier base es el producto escalar de un par de vectores de la base:
Para la base cartesiana las componentes ordenadas en una matriz son:
también lo son los más simples posibles para el tensor métrico, es decir, la δ:
Esto no es cierto para las bases generales: las coordenadas ortogonales poseen métricas diagonales que contienen varios factores de escala (es decir, no necesariamente 1), mientras que las coordenadas curvilíneas generales también podría tener entradas distintas de cero para componentes fuera de la diagonal.
El producto escalar de dos vectores a y b se transforma según
lo que es intuitivo, ya que el producto escalar de dos vectores es un escalar único independiente de cualquier coordenada. Esto también se aplica de manera más general a cualquier sistema de coordenadas, no solo a los rectangulares. El producto escalar en un sistema de coordenadas es el mismo que en cualquier otro.
Producto vectorial, símbolo de Levi-Civita y seudovectores
Para el producto vectorial (×) de dos vectores, los resultados son (casi) al revés. Nuevamente, suponiendo un sistema de coordenadas cartesiano 3D a la derecha, las permutaciones cíclicas en direcciones perpendiculares producen el siguiente vector en la colección cíclica de vectores:
mientras que los vectores paralelos desaparecen claramente:
y reemplazando las etiquetas cartesianas por la notación indxada como ya se ha mostrado anteriormente, se pueden resumir en:
donde i, j, k son índices que toman valores 1, 2, 3. Entonces, resulta que:
Estas relaciones de permutación y sus valores correspondientes son importantes, y hay un objeto que coincide con esta propiedad: el símbolo de Levi-Civita, denotado por ε. Las entradas de los símbolos de Levi-Civita se pueden representar mediante la base cartesiana:
que corresponde geométricamente al volumen de un cubo abarcado por los vectores de base ortonormal, con el signo que indica la orientación (y no un volumen positivo o negativo). Aquí, la orientación la fija ε123= 1, para un sistema a derecha. Un sistema a izquierda implicaría que ε123= −1 o equivalentemente ε321= 1.
El producto mixto ahora se puede escribir como:
con la interpretación geométrica del volumen (del paralelepípedo abarcado por a, b, c) y algebraicamente es un determinante:[3]: 23
Esto a su vez se puede utilizar para reescribir el producto vectorial de dos vectores de la siguiente manera:
Al contrario de lo que parece, el símbolo de Levi-Civita no es un tensor, sino un seudotensor, sus componentes se transforman según:
Por lo tanto, la transformación del producto cruzado de a y b es:
y entonces a × b se transforma en un vector axial, debido al factor procedente del determinante.
La notación tensorial indexada se aplica a cualquier objeto que tenga entidades que formen matrices multidimensionales; no todo lo que tiene índices es un tensor por defecto. En cambio, los tensores se definen por cómo cambian sus coordenadas y elementos básicos bajo una transformación de un sistema de coordenadas a otro.
Debe tenerse en cuenta que el producto cruzado de dos vectores es un seudovector, mientras que el producto cruzado de un seudovector con un vector es otro vector.
Aplicaciones del tensor δ y del seudotensor ε
Se pueden formar otras identidades a partir del tensor δ y el del seudotensor ε, una notable y muy efectiva es aquella que convierte dos símbolos de Levi-Civita contraídos adyacentemente sobre dos índices en una combinación antisimetrizada de deltas de Kronecker:
Las formas de índice de los productos escalar y vectorial, junto con esta identidad, facilitan en gran medida la manipulación y deducción de otras identidades del cálculo vectorial y del álgebra, que a su vez se utilizan ampliamente en física e ingeniería. Por ejemplo, está claro que los productos escalar y vectorial son distributivos sobre la suma de vectores:
sin recurrir a construcciones geométricas. La deducción en cada caso es una línea de álgebra. Aunque el procedimiento es menos obvio, también se puede deducir la fórmula del triple producto vectorial. Reescrito en notación indexada, se tiene que:
y debido a que las permutaciones cíclicas de índices en el símbolo ε no cambian su valor, la permutación cíclica de índices en εkℓm para obtener εℓmk permite usar la identidad δ-ε anterior para convertir los símbolos ε en tensores δ:
así:
Téngase en cuenta que el proceso es antisimétrico en b y c, como se esperaba del lado izquierdo de la ecuación. De manera similar, mediante notación indexada o incluso simplemente reetiquetando cíclicamente a, b y c en el resultado anterior y tomando el valor negativo:
y la diferencia de resultados muestra que el producto cruzado no es asociativo. Identidades más complejas, como los productos cuádruples
y así sucesivamente, se pueden deducir de manera similar.
Transformaciones de tensores cartesianos (cualquier número de dimensiones)
Los tensores se definen como cantidades que se transforman de cierta manera bajo transformaciones lineales de coordenadas.
De segundo orden
Sean a= aiei y b= biei dos vectores, de modo que se transformen según aj= aiLij, bj= biLij.
Tomando el producto tensorial se obtiene:
luego aplicando la transformación a las componentes
y a las bases
da la ley de transformación de un tensor de orden 2. El tensor a⊗b es invariante bajo esta transformación:
De manera más general, para cualquier tensor de orden 2
las componentes se transforman según
y la base se transforma de acuerdo con
Si R no se transforma según esta regla (cualquiera que sea la cantidad R), entonces no es un tensor de orden 2.
De cualquier orden
De manera más general, para cualquier orden tensorial p
las componentes se transforman según
y la base se transforma de acuerdo con
Para un seudotensor S de orden p, las componentes se transforman según
Seudovectores como tensores antisimétricos de segundo orden
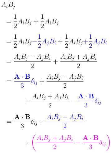
La naturaleza antisimétrica del producto vectorial se puede reformular en una forma tensorial de la siguiente manera.[2] Sea c un vector, a un seudovector, b otro vector y T un tensor de segundo orden tal que:
Como el producto vectorial es lineal en a y b, las componentes de T se pueden deducir y son:
entonces el seudovector a puede escribirse como un tensor antisimétrico, que se transforma en un tensor (y no en un seudotensor). Para el ejemplo anterior, la velocidad tangencial de un cuerpo rígido dada por v= ω × x, esto se puede reescribir como v= Ω ⋅ x donde Ω es el tensor correspondiente al seudovector ω:
Por ejemplo, en electromagnetismo, mientras que el campo eléctrico E es un campo vectorial, el campo magnético B es un campo seudovectorial. Estos campos se definen a partir de la fuerza de Lorentz para una partícula de carga eléctrica q que viaja a velocidad v:
y considerando el segundo término que contiene el producto cruzado de un seudovector B y un vector de velocidad v, se puede escribir en forma matricial, con F, E y v como vectores columna y B como matriz antisimétrica:
Si un seudovector está dado explícitamente por un producto vectorial de dos vectores (en lugar de introducir el producto vectorial con otro vector), entonces dichos seudovectores también se pueden escribir como tensores antisimétricos de segundo orden, siendo cada entrada un componente del producto vectorial. El momento angular de una partícula puntual clásica que orbita alrededor de un eje, definido por J= x × p, es otro ejemplo de seudovector, con su correspondiente tensor antisimétrico:
Aunque los tensores cartesianos no aparecen en la teoría de la relatividad, la forma tensorial del momento angular orbital J da paso a la parte espacial del tensor del momento angular relativista, y la forma tensorial anterior del campo magnético B da paso a la parte espacial del tensor de campo electromagnético.
Cálculo vectorial y tensorial
Las siguientes fórmulas son muy simples en coordenadas cartesianas (en coordenadas curvilíneas generales hay factores de la métrica y su determinante); consúltese tensores en coordenadas curvilíneas para un análisis más general.
Cálculo vectorial
Los siguientes son los operadores diferenciales del cálculo vectorial. En todo momento, Φ(r, t) es un campo escalar, y
es un campo vectorial, en los que todos los campos escalares y vectoriales son funciones de la posición r y del tiempo t.
El operador gradiente en coordenadas cartesianas viene dado por:
y en notación indexada suele abreviarse de varias maneras:
Este operador actúa sobre un campo escalar F para obtener el campo vectorial orientado según tasa máxima de aumento de F:
La notación indexada para los productos escalar y vectorial se traslada a los operadores diferenciales del cálculo vectorial.[3]: 197
La derivada direccional de un campo escalar Φ es la tasa de cambio de Φ en algún vector de dirección a (no necesariamente un vector unitario), formado a partir de las componentes de a y el gradiente:
La divergencia de un campo vectorial A es:
Téngase en cuenta que el intercambio de las componentes del gradiente y del campo vectorial produce un operador diferencial diferente
que podría actuar sobre campos escalares o vectoriales. De hecho, si A se reemplaza por la velocidad de flujo u(r, t) de un fluido, este es un término según una derivada material (con muchos otros nombres) en la mecánica de medios continuos, siendo otro término la derivada parcial respecto al tiempo:
que generalmente actúa sobre el campo de velocidad y conduce a la no linealidad en las ecuaciones de Navier-Stokes.
En cuanto al rotacional de un campo vectorial A, se puede definir como un campo seudovectorial mediante el símbolo ε:
que solo es válido en tres dimensiones, o un campo tensorial antisimétrico de segundo orden mediante la antisimetrización de índices, indicado delimitando los índices antisimetrizados por corchetes (véase cálculo de Ricci):
que es válido en cualquier número de dimensiones. En cada caso, el orden de las componentes del gradiente y del campo vectorial no debe intercambiarse, ya que esto daría como resultado un operador diferencial diferente:
que podría actuar sobre campos escalares o vectoriales.
Finalmente, el operador laplaciano se define de dos maneras, la divergencia del gradiente de un campo escalar Φ:
o el cuadrado del operador gradiente, que actúa sobre un campo escalar Φ o un campo vectorial A:
En física e ingeniería, el gradiente, la divergencia, el rotacional y el operador laplaciano surgen inevitablemente en mecánica de fluidos, la ley de gravitación universal, el electromagnetismo, la conducción de calor e incluso en la mecánica cuántica.
Las identidades del cálculo vectorial se pueden derivar de forma similar a las de los productos y combinaciones vectoriales escalar y cruzada. Por ejemplo, en tres dimensiones, el rotacional de un producto vectorial de dos campos vectoriales A y B es:
donde se utilizó la regla del producto, y durante todo el proceso de diferenciación no se intercambió entre A o B. De este modo:
Cálculo tensorial
Se pueden continuar las operaciones con tensores de orden superior. Sea T= T(r, t) un campo tensorial de segundo orden, nuevamente dependiente del vector de posición r y del tiempo t.
Por ejemplo, el gradiente de un campo vectorial en dos notaciones equivalentes (diádica y tensorial, respectivamente) es:
que es un campo tensorial de segundo orden.
La divergencia de un tensor es:
que es un campo vectorial. Esto surge en la mecánica continua en las leyes del movimiento de Cauchy: la divergencia del tensor de tensión de Cauchy σ es un campo vectorial, relacionado con las fuerzas internas que actúan sobre el fluido.
Diferencia con el cálculo tensorial estándar
Los tensores cartesianos forman parte del álgebra tensorial, pero la estructura euclídea y la restricción de la base aporta algunas simplificaciones en comparación con la teoría general.
El álgebra tensorial general consta de tensores mixtos generales del tipo (p, q):
con elementos básicos:
las componentes se transforman según:
en cuanto a las bases:
Para los tensores cartesianos, solo importa el orden p q del tensor en un espacio euclídeo con una base ortonormal, y todos los índices p q se pueden reducir. Una base cartesiana no existe a menos que el espacio vectorial tenga una métrica definida positiva y, por lo tanto, no se puede utilizar en contextos relativistas.
Historia
Los tensores diádicos fueron históricamente el primer enfoque para formular tensores de segundo orden, y de manera similar los tensores triádicos para tensores de tercer orden. Los tensores cartesianos utilizan la notación tensorial indexada, en la que la varianza se puede pasar por alto y a menudo se ignora, ya que la ley de subir o bajar índices mantiene los componentes sin cambios.
Véase también
- Álgebra tensorial
- Cálculo tensorial
- Tensores en coordenadas curvilíneas
- Grupo ortogonal
Referencias
Bibliografía
- D. C. Kay (1988). Tensor Calculus. Schaum's Outlines. McGraw Hill. pp. 18-19, 31-32. ISBN 0-07-033484-6.
- M. R. Spiegel; S. Lipcshutz; D. Spellman (2009). Vector analysis. Schaum's Outlines (2nd edición). McGraw Hill. p. 227. ISBN 978-0-07-161545-7.
- J.R. Tyldesley (1975). An introduction to tensor analysis for engineers and applied scientists. Longman. pp. 5-13. ISBN 0-582-44355-5.
Lecturas adicionales y aplicaciones
- S. Lipcshutz; M. Lipson (2009). Linear Algebra. Schaum's Outlines (4th edición). McGraw Hill. ISBN 978-0-07-154352-1.
- Pei Chi Chou (1992). Elasticity: Tensor, Dyadic, and Engineering Approaches. Courier Dover Publications. ISBN 048-666-958-0.
- T. W. Körner (2012). Vectors, Pure and Applied: A General Introduction to Linear Algebra. Cambridge University Press. p. 216. ISBN 978-11070-3356-6.
- R. Torretti (1996). Relativity and Geometry. Courier Dover Publications. p. 103. ISBN 0-4866-90466.
- J. J. L. Synge; A. Schild (1978). Tensor Calculus. Courier Dover Publications. p. 128. ISBN 0-4861-4139-X.
- C. A. Balafoutis; R. V. Patel (1991). Dynamic Analysis of Robot Manipulators: A Cartesian Tensor Approach. The Kluwer International Series in Engineering and Computer Science: Robotics: vision, manipulation and sensors 131. Springer. ISBN 0792-391-454.
- S. G. Tzafestas (1992). Robotic systems: advanced techniques and applications. Springer. ISBN 0-792-317-491.
- T. Dass; S. K. Sharma (1998). Mathematical Methods In Classical And Quantum Physics. Universities Press. p. 144. ISBN 817-371-0899.
- G. F. J. Temple (2004). Cartesian Tensors: An Introduction. Dover Books on Mathematics Series. Dover. ISBN 0-4864-3908-9.
- H. Jeffreys (1961). Cartesian Tensors. Cambridge University Press. ISBN 9780521054232.
Enlaces externos
- Cartesian Tensors
- V. N. Kaliakin, Brief Review of Tensors, University of Delaware
- R. E. Hunt, Cartesian Tensors, University of Cambridge




